수요의 점 가격탄력성(Point Price Elasticity)과 구간 가격탄력성(Interval Price Elasticity)은 수요량의 가격 민감도를 알 수 있는 지표에 해당한다.
수요곡선 그래프와 수식을 통해 점 가격탄력성과 구간 가격탄력성을 계산하는 방법을 알아보자.
구간 가격탄력성의 경우, 수요의 가격탄력성은 다음과 같이 계산할 수 있다.

점 가격탄력성은 한 점에서의 가격탄력성을 의미하므로,

가 수요곡선의 기울기의 역수가 된다.(극한을 이용하여 이 결과를 도출해낼 수 있다.)
따라서, 점 가격탄력성은 다음과 같이 계산할 수 있다.

이 두 식을 수요곡선에 적용해보자.


왼쪽 그래프를 통해 이 수요곡선의 기울기는 1이며 점 가격탄력성을 계산하고자 하는 부분은 수요량이 100, 가격이 100인 부분이다. 이 경우, 점 가격탄력성은 1이 된다.

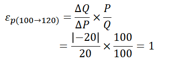
오른쪽 그래프를 통해 가격이 100에서 120으로 변할 때의 구간 가격탄력성을 계산해보자. 수요의 구간 가격탄력성은 양수로 나타냄에 주의해야 한다.

가격이 120에서 100으로 변할 때의 구간 가격탄력성을 계산해보자.

위의 예시처럼 두 점사이의 구간 가격탄력성을 각각 계산해 보았을 때, 방향에 따라 서로 구간 가격탄력성 값이 다름에 주의해야 한다.
댓글