공급의 점 가격탄력성(Point Price Elasticity)과 구간 가격탄력성(Interval Price Elasticity)은 공급량의 가격 민감도를 알 수 있는 지표에 해당한다.
공급곡선 그래프와 수식을 통해 점 가격탄력성과 구간 가격탄력성을 계산하는 방법을 알아보자.
구간 가격탄력성의 경우, 공급의 가격탄력성은 다음과 같이 계산할 수 있다.

점 가격탄력성은 한 점에서의 가격탄력성을 의미하므로,

가 공급곡선의 기울기의 역수가 된다.(극한을 이용하여 이 결과를 도출해낼 수 있다.)
따라서, 점 가격탄력성은 다음과 같이 계산할 수 있다.

다음의 세 공급곡선을 이용하여 공급의 점 가격탄력성에 대해 알아보자.

공급곡선이 선형일 때, 공급곡선이 원점을 지난다면 공급의 점가 격 탄력성은 항상 1이다. 공급곡선이 양의 y절편을 갖는 경우 공급의 점가격탄력성은 1보다 크다. 음의 y절편을 갖는 경우는 1보다 항상 작다. 기울기가 동일하고, (가격)/(공급량)에 의해 점가격탄력성이 달라짐을 확인할 수 있다.
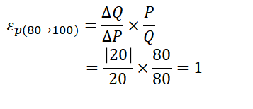
공급의 구간 가격탄력성은 다음의 그래프를 이용하여 계산해보자.


따라서 가격이 80에서 100으로 변할 때의 구간가격탄력성은 1 임을 알 수 있다. 선형 공급곡선에서 원점을 지나는 공급곡선의 점가격탄력성이 1 임도 확인할 수 있다.
'경제 > 맨큐의 경제학' 카테고리의 다른 글
| [맨큐의 경제학#18/Ch6] 정부의 가격조정-가격상한제와 가격하한제 (0) | 2020.11.26 |
|---|---|
| [맨큐의 경제학#17/Ch5] 공급의 가격탄력성 그래프 해석 (0) | 2020.11.25 |
| [맨큐의 경제학#15/Ch5] 수요의 가격탄력성 그래프 해석 (0) | 2020.11.17 |
| [맨큐의 경제학#13/Ch5] 수요의 가격탄력성과 공급의 가격탄력성 (0) | 2020.10.13 |
| [맨큐의 경제학#12/Ch4] 수요와 공급곡선, 초과 공급과 초과수요 (0) | 2020.10.13 |
댓글